找回密码
 立即注册

QQ登录

只需一步,快速开始

微信扫码登录

搜索
查看: 481|回复: 3

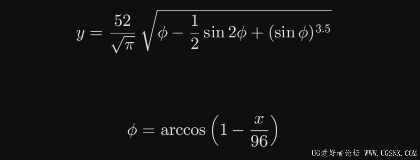
[求助] UG这个表达式怎么弄呢

[复制链接]

12

主题

108

回帖

3490

积分

中尉

积分
3490
发表于 2026-1-22 21:57:02 | 显示全部楼层 |阅读模式
在手机上用其他软件可以画出来,用UG规律曲线不出东西不晓得咋弄
111.zip (23.92 KB, 下载次数: 3)

111.jpg

7

主题

304

回帖

1540

积分

六级士官

积分
1540
发表于 2026-1-23 09:19:11 | 显示全部楼层

回帖奖励 +1 G币

本帖最后由 towercqu 于 2026-1-23 09:22 编辑

做出来是这样的,不知道对不对?
PixPin_2026-01-23_09-18-33.jpg
PixPin_2026-01-23_09-22-40.jpg

评分

参与人数 1G币 +4 收起 理由
2228977390 + 4 赞一个!

查看全部评分

1

主题

256

回帖

8625

积分

少校

积分
8625
发表于 2026-1-23 13:42:26 | 显示全部楼层
本帖最后由 chfm 于 2026-1-23 14:12 编辑

最好给出定义区间。
f1.png

评分

参与人数 1G币 +10 收起 理由
2228977390 + 10 很给力!

查看全部评分

12

主题

108

回帖

3490

积分

中尉

积分
3490
 楼主| 发表于 2026-1-25 19:04:42 | 显示全部楼层
towercqu 发表于 2026-1-23 09:19
做出来是这样的,不知道对不对?

不是,图像是楼下那样的
您需要登录后才可以回帖 登录 | 立即注册

本版积分规则

咨询QQ:1359218528|发帖须知!|Archiver|手机版|小黑屋|UG爱好者论坛 ( 京ICP备10217105号-2 )

GMT+8, 2026-5-23 08:38

Powered by Discuz! X3.5 Licensed

© 2001-2025 Discuz! Team.

快速回复 返回顶部 返回列表